產品分類
聯系我們
CONTACT US
電 話:0379-63210622
手 機:137-0769-6241
地址:洛陽市西工區衡山路五洲國際工業博覽城B區31棟119號
乘車路線:可自行駕車前往
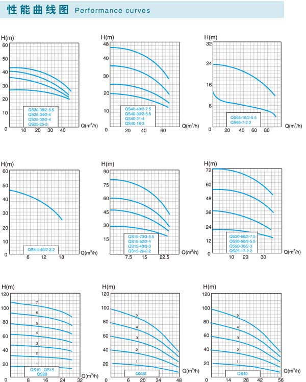
一、產品概述
QS型水電泵廣泛用于農田排灌、工業及民用建筑的供、排水系統,噴泉工程,以及丘陵、山區的引水,低洼地區的排澇等。其特點是:電機、水泵組成一體,結構簡單,且安裝拆卸方便,安裝占地面積少,使用維護簡單,運轉安全可靠。目前,我公司可向用戶提供揚程5-75米,流量15-250米3/小時,電機功率0.75-7.5kw等三十幾種型號的潛水電泵。
二、型號意義
QS40-30/2-5.5
QS–充水式水泵
40–流量(m3/h)
30–揚程(m)
2–水泵級數
5.5–額定功率(kw)
三、結構圖
四、技術特性
1.電源:頻率50HZ,電壓380伏(允許偏差+5%~-10%)的三相交流電源。
2.水源:一般無腐蝕性清水,含砂量不大于0.02%,PH值為:6.5-8.5。被提取的水溫不高于規范40℃。
3.安裝:電泵應完全浸入水中運行,潛水深度不小于0.5米,不超過5米。
4.水中含固體顆粒的體積比不超過20%介質運動,粘度7×10﹣7㎡/S-23×10﹣6㎡/S。
5.無內自流循環冷卻系統的電泵,電機部分露出頁面不超過1/3。
五、結構特點
QS型潛水電泵、潛水電機兩大部分組成。電機內腔采用充水式定子繞組采用聚乙烯絕緣尼龍套耐水電磁線,保證電機在水介質中正常工作,定轉子表面涂特殊的耐水涂料,轉子軸伸端有甩砂器,有效的阻止泥沙與水浸入電機腔內,軸承室填充耐水潤滑脂,并用骨架油封保護,有效地防止液體進入軸承室損壞軸承,電機腔內充入清潔的水,起到電機冷卻作用。
水泵由葉輪、導葉體、進水節、出水管等部件組成,水泵葉輪有離心式、混流式,葉輪的固定采用錐套或鍵,導葉體采用空間導流殼的形式。
1、電機、水泵一體,潛入水中運行,結構簡單,節能高效,安全可靠。
2、造型美觀、重量輕、噪音小、無污染,對安放環境適應性強,大幅節省工程造價,不影響建筑、自然景觀。
3、安裝、使用、維護方便簡單,占地面積小。
六、安裝拆卸
七、性能參數
流量:12-250m3/h;
揚程:5-56m;
轉速:2900r/min;
口徑:50-100mm;
介質溫度:≤40℃。
型號說明:

結構示意圖:

QS\QSR型小型潛水泵:




QS型經濟適用性小型潛水泵:

性能曲線圖:



